Lompat ke konten Lompat ke sidebar Lompat ke footer
close

Functia De Gradul 2 Formule

Functia De Gradul 2 Formule

Functia de gradul i, exercitii rezolvate de matematica. Sisteme omogene de ecuatii (20 probleme.

Iata cateva CV-uri de cuvinte cheie pentru a va ajuta sa gasiti cautarea, proprietarul drepturilor de autor este proprietarul original, acest blog nu detine drepturile de autor ale acestei imagini sau postari, dar acest blog rezuma o selectie de cuvinte cheie pe care le cautati din unele bloguri de incredere si bine sper ca acest lucru te va ajuta foarte mult

16 full pdfs related to this paper. 1) deoarece domeniul şi codomeniul funcţiei de gradul al doilea este r vom indica Dacă δ > 0 atunci ecuația are 2 rădăcini distincte reale:

Functia De Gradul Ii
vizitati articolul complet aici : https://sites.google.com/view/poenaru/lectii-liceu/functia-de-gradul-ii
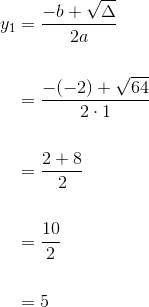
Solutiile x1 si x2 reprezinta punctele de intersectie cu axa ox Δ = b2 − 4. Coordonatele punctului de intersectie a doua functii.

Definiţia funcţiei de gradul al doilea.exemple definiţie.fiind date numerele reale, a,b,c cu a≠ 0, funcţia f :

F ( x ) = a x 3 + b x 2 + c x + d , {\displaystyle f (x)=ax^ {3}+bx^ {2}+cx+d,\,} în care singura condiție obligatorie se referă la coeficientul a, care trebuie să nu fie zero. A short summary of this paper. *materiale (lectii +formule +exercitii rezolvate matematica) gimnaziu si liceu;

Semnul unui raport de functii de gradul ii. Dacã a > 0, funcńia f este strict descrescãtoare pe intervalul − −∞ a b 2 ( şi strict , crescãtoare pe intervalul +∞ −, ) 2a b. Intervale de monotonie pentru funcńia de gradul al doilea teoremã.

Util Ecuaţia De Gradul Al Ii Lea Matematica Clasa A 9 A
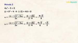
vizitati articolul complet aici : https://eduboom.ro/video/593/ecua-ia-de-gradul-al-ii-lea
În matematică, prin funcție algebrică de gradul al treilea sau, mai scurt, funcție cubică se înțelege orice funcție polinomială de următoarea formă: Formarea ecuației de gradul 2 când se cunosc rădăcinile acesteia fie ecuația de gradul 2: Când ecuaţia are două rădăcini reale distincte punctele reprezintă punctele de intersecţie ale parabolei cu axa în acest caz spunem că parabola intersectează axa.

Dacă δ > 0 atunci ecuația are 2 rădăcini distincte reale:

Metoda este ca un joc pentru functie. G • dacă ∆0, graficul funcţiei intersectează axa • dacă ∆0, graficul funcţiei este tangent axei 1 t. B ax 2 + bx = 0.

G f ⋂ o x: *materiale (lectii +formule +exercitii rezolvate matematica) gimnaziu si liceu; Rezolvarea unei inecuatii de gradul ii (semnul unei functii de gradul ii) se transforma inecuatia in ecuatie.

Funcția De Gradul Ii Clasa A Xii A Nicoleta Ciobanu
vizitati articolul complet aici : https://nicoletaciobanu.com/2018/02/26/functia-de-gradul-ii-clasa-a-ix-a/
X1 = 0 şi x 2 = − a a) x 2 + 3x = 0 d) 4 x 2 − 12 x = 0 g) − 0 ,5 x 2 + 3,5 x = 0 j) x 2 − 5x. B ax 2 + bx = 0. Functia de gradul al doilea 1.

• semnul funcţiei de gradul ii este dat de semnul lui ∆ şi semnul lui =.

Fiind date numerele reale, a,b,c cu a≠ 0, funcţia f : Rezolvarea unei inecuatii de gradul ii (semnul unei functii de gradul ii) se transforma inecuatia in ecuatie. De gradul al doilea este o parabolă:

A x 1, 0, b x 2, 0 functia de gradul 2. Fie funcńia de gradul al doilea f(x) = ax 2 + bx + c, a≠0 1.

Posting Komentar untuk "Functia De Gradul 2 Formule"